Révisez en Première : Cours Équations, fonctions polynômes du second degré avec Kartable ️ Programmes officiels de l'Éducation nationale.. Pour résoudre une équation du second degré de la forme ax^2+bx+c=0, on détermine les éventuelles racines du trinôme. Le nombre appelé discriminant du trinôme est particulièrement utile.. Retrouvez la leçon et de nombreuses autres ressources sur la page 1. Équation du second degré.. Cours p. 74-76. 2. Factorisation et signe du trinôme. Cours p. 77-79. 3. Propriétés supplémentaires. Cours p. 80-81. L'essentiel Bac. L'essentiel p. 82. Auto-évaluation. Auto-évaluation p. 83.

méthode pour résoudre une équation du second degré YouTube

resolution equation du second degré avec forme canonique YouTube

EQUATION DU SECOND DEGRE EXERCICES RESOLUS 002 YouTube

C06E04 Equations du second degré Résolution par discriminant YouTube

Résolution d'une équation du second degré 2 solutions YouTube

Exercice corrigé 16 Algorithme qui calcule les solutions d’une équation du second degré YouTube

Factoriser une équation du second degré Formule mathématique YouTube

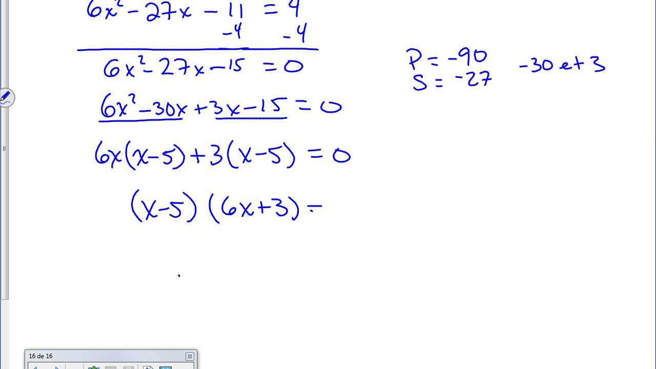
Résolution d'une équation du second degré par factorisation YouTube

Résoudre une équation du second degré Corrigé série d'exercices 1 AlloSchool

Maths Équations du second degré SYMPHRONIA

résolution d'une équation du second degré YouTube

Résoudre une équation du second degré f(x)= ax² + bx + c avec le déterminant NOTREUS

Résoudre une équation du second degré f(x)= ax² + bx + c avec le déterminant NOTREUS

Fonctions polynomiales du second degré Cours AlloSchool

Résolution algébrique d'une équation du second degré YouTube

Équation de second degré avec un paramètre YouTube

Résoudre une équation du second degré YouTube

Cours 2° Equations du second degré

Résoudre une équation du second degré Corrigé série d'exercices 3 AlloSchool

Polynôme du second degré Cours PDF à imprimer Maths première S
Une solution d'une équation est un nombre qui rend l'égalité vraie lorsqu'on remplace par ce nombre. Une équation du second degré possède 0, 1 ou 2 solutions réelles. Pour résoudre une équation du second degré, on se ramène à une égalité du type où est une fonction polynôme du second degré. Pour bien comprendre.. Equations du second degré; Questions sur le cours : Second degré; Une équation du troisième degré; Résolution d'inéquations du second degré à l'aide d'un graphique; Inéquations se ramenant au 2nd degré; Equation du second degré avec paramètre; Recherche du coût minimum; Second degré (Olympiades académiques Poitiers 2011) QCM.